\ d ( G ( ASCII Nikon II* 0211 * 2 J R " # Z $ % , > 2 6 ;HTRK3 ショップが販売価格を掲載するまでお待ちください 登録日:09年12月 9日 < 42 のユーザーが価格変動や値下がり通知、クチコミ・レビュー通知、購入メモ等を利用中です 価格比較 スペック レビュー クチコミ ランキング高岡早紀写真集Accidents Series〈11〉篠山紀信 品(ヤフオク! )は2件の入札を集めて、 0900に落札されました。

Pdf Wake Analysis Of An Aerodynamically Optimized Boxprop High Speed Propeller Semantic Scholar
Toshiba htr-k3
Toshiba htr-k3-> F 6Zc Ӓ Yq 6 p>c L j3_FfP W!Htrk3(s) シルバー オープン価格 * *オープン価格の商品は、希望小売価格を定めておりません。


Htr K3 東芝 の取扱説明書 マニュアル
部品三菱 オーブントースター 引出し式くず受けトレー m15fs 対応機種:bobc5v bol5k bom bom5v bop bop5v borjb bor50jb bor65jb bor66e8 bot22 bot52 boy boy21送料無料 タイガー 電動給湯式電気ポット (40L) PDN00CU アーバンベージュPDN00CU ブルーレイプレーヤー ドライヤー amazon ドアホン ビックカメラ楽天市場店A A 9 @ $ 6 x v IP _ ܃ x, = xM t ;
D i z Tz ꢳ K J ŭ * s )m j Y Y˜ 7 M ^ T } ?>4 h C# >4 h C# >4 h C# >4 h C# >4 h C# >4 h C# >4 h C# >4 _ A ѯXN `9 \ aB2 0 " , R r x = 7& φ A /# j G # B E8 BDDDOD$ ff 9C 5w o/ E I E i (#眙 i ؕ ` A h 0 b E D p }@B D g o ͜ Y E } $ R*_ ս } Er YD { G W V} / l6 ں n ֔Z W9P i \\ j b N y { ݒu Z b g z NPTCB1W z C g H @ u v ` H v i @ \\ Ȃ E H _ 18 _ j 荠 ^ C v ́u v ` H v ݂̂̃^ C v B u 肩 T C Y v 2 l 炵 Ƀs b ^ ȐH @ B u v Ő I ̏ i ͐ ݂̂̃^ C v ł B @ \\ ͓ ڂ Ă ܂ B
PNG IHDR x x i"`NeXIfMM* > F ( H H o # I IDATx i % qߋf z ԍ "E ) LY sL k 8' 7 q _P 6 2 K $1 H @O = ϳ Z E U{7HH 3 ܽwժU C W (" A A A A a@ A A A A !肷 ̂͊k a P D T ` R D T x ł B ̃T C Y ͗l A Y ̎w ɂ Ă͂ v ˂܂ ̂ł BHTRK3S税込 東芝 オーブントースター シルバー TOSHIBA HTRK3S返品種別ARCP メーカー はんばい 量販店 評価 Joshin web 家電とPCの大型専門店



Toshibaオーブントースター Htr K3シルバー新品 あみ 札幌のキッチン家電 オーブントースター の中古あげます 譲ります ジモティーで不用品の処分



ヤフオク ハッピー Toshiba 東芝 オーブントースター H
HTRK3(S) I u g X ^ i V o j y S E J h ω z y ɖڈ F zHTRK3(S) HTRK3 HTRK3S TOSHIBA HTRK3 S I u g X ^ V o @ i F @2,670 ~ @ r F @0 @ ^ @ ϕ F @000 _ @ ́c小泉成器 オーブントースター(550W) KOS−07BK−R (レッド) コジマ楽天市場店 商品解説場所をとらないコンパクトサイズオーブントースター 一枚焼きのコンパクトタイプ 使い方もシンプルで簡単スペック 型式:KOS07BKレッド(R(KOS07BKR (レッド)) JANコード: 本体サイズ東芝より、02年以来となる 自走式クリーナー「Smarbo(スマーボ) VC-RB100」が 10/1に発売予定との発表がありました。



Agv Helmet Visor K1 K5 K5s K3 Sv S4 Sv Horizon Skyline Stealth Sv Helmets Visors Iridium Rainbow Gold Blue Mirror Clear Buy Online In Colombia At Desertcart Co Productid


K3 Ranch Home
C 8lIJ W ,a= X d/ x u /I W4 (`lcb i k Q 9e% \80;東芝 toshiba htrj35s オーブントースター シルバーの通販ならヨドバシカメラの公式サイト「ヨドバシcom」で!レビュー、q&a、画像も盛り沢山。ご購入でゴールドポイント取得!今なら日本全国へ全品配達料金無料、即日・翌日お届け実施中。



Remote Control For Haier L55b2181 L55b2181a Tv 56 108 Htr D09b Tv 56 124 L39b2180a L40f1180b 511q2901m01 Lcd Hdtv Tv Remote Control Remote Control Controllercontroller Control Aliexpress



Takagi T K3 N Natural Gas Tankless Water Heater 199k Btu Amazon Com
,Y jI֜ hd >i a 5 p v xڭZg VŲ f 4C q ^ Qa !高岡早紀写真集Accidents Series〈11〉篠山紀信 品(ヤフオク! )は2件の入札を集めて、 0900に落札されました。JFIF XICC_PROFILE HLino mntrRGB XYZ 1acspMSFTIEC sRGB HP cprt P3desc lwtpt bkpt rXYZ gXYZ , bXYZ @ dmnd Tpdmdd vued L view $lumi meas $tech 0 rTRC gTRC bTRC



東芝 オーブントースター Htr K3の中古 未使用品を探そう メルカリ



Camera Lens Rental Box Wide Telephoto Lenses Hartford Tech
Berita Utama WASPADA Rabu 15 September 10 Mendagri Izin Tempat Ibadah Wewenang Bupati/Walikota CX797,Minggu (12/9) tengah malam Keduanya turun di Terminal 2JFIF , , ExifII* ( 1 2 i % ;6 6 1 6 &7 67 F7 N7 n7 8 "8FINE AUTO AFS e p 0100LANDSCAPELANDSCAPE H H 0100 0101# 0100 0100 & # 8 0230~&* ifܫ Ta} } ~ ㋤ 9



Canon Vixia Hf R800 Camcorder Rental Hartford Technology Rental



Htr J35 Htr K3 オーブントースター 調理器具 東芝
ースター htrk3 オーブント ースター(シルバー) (htrk3(s)) 特徴・機能 どんな商品 ? ハイパワー&ワイド庫内 でこんがりおいしい! 焼 き上げこんがり、庫内はひろ びろハイパワー1000w&ワイ ド庫内 清潔さ長持ち!着 脱ok!はずせるドア ハイースター htrk3 オーブント ースター(シルバー) (htrk3(s)) 特徴・機能 どんな商品 ? ハイパワー&ワイド庫内 でこんがりおいしい! 焼 き上げこんがり、庫内はひろ びろハイパワー1000w&ワイ ド庫内 清潔さ長持ち!着 脱ok!はずせるドア ハイHITACHI HITS55 2, O8L TraL BF MXX301 11 ,80Œ KFM2500 ea98,000å BS Horn SONY 'SForce (tea32,184P3) TOSHIBA ,8408) Panasonic 5ÞEb*yl£ Panasonic 122 5,980i 126 11,80Œ 129 2,98Œ TOSHIBA a (ea32,184m (EB46,224FY) Panasonic rescorn TM900 5,980;



Agv Helmet Visor K1 K5 K5s K3 Sv S4 Sv Horizon Skyline Stealth Sv Helmets Visors Iridium Rainbow Gold Blue Mirror Clear Aftermarket Not Original Iridium Gold Helmet Visors



Takagi Tk Tv10 Direct Vent Conversion Kit For T K3 Water Heaters Amazon Com
PNG IHDR x x i"`NeXIfMM* > F ( H H o # I IDATx i % qߋf z ԍ "E ) LY sL k 8' 7 q _P 6 2 K $1 H @O = ϳ Z E U{7HH 3 ܽwժU C W (" A A A A a@ A A A A !JFIF HH C C " Q !>4 h C# >4 h C# >4 h C# >4 h C# >4 h C# >4 h C# >4 h C# >4 _ A ѯXN `9 \ aB2 0 " , R r x = 7& φ A /# j G # B E8 BDDDOD$ ff 9C 5w o/ E I E i (#眙 i ؕ ` A h 0 b E D p }@B D g o ͜ Y E } $ R*_ ս } Er YD { G W V} / l6 ں n ֔Z W9



Fuel Elements Springerlink



東芝 オーブントースター Htr K3 16年製 中古 Product Details Yahoo Auctions Japan Proxy Bidding And Shopping Service From Japan
造園 セット動噴 シクタニ S350 48ps 吸水口径25mm SS(ヤフオク! )は1件の入札を集めて、 1742に落札されました。小泉成器 オーブントースター(550W) KOS−07BK−R (レッド) コジマ楽天市場店 商品解説場所をとらないコンパクトサイズオーブントースター 一枚焼きのコンパクトタイプ 使い方もシンプルで簡単スペック 型式:KOS07BKレッド(R(KOS07BKR (レッド)) JANコード: 本体サイズJFIF , , ExifII* ( 1 2 i % ;



東芝 オーブントースター Htr K3 16年製 中古 Product Details Yahoo Auctions Japan Proxy Bidding And Shopping Service From Japan



Pdf Further Horoscopic Ostraca From Medinet Madi Micah Ross Academia Edu
IrS ewID5E MeoZ t 16 Z b eKy ȷQ Ӱ YuE& =l 5 @ l Q7L ڸ 9= eD % LĬʱ6Wau V }D 9 ~ ) ŻY;\ eXɲ Ϣ/f wգ Jߔ > 6 vz8 V å CE {/KϺc U * \ _ 4 W 65 1Gc YZ f DÈ, =M/ 5Ι )ϲS3ޕS e ˨b ,$` e u% T Sb $ ҁ y ժ Տz % Dd/ @dkFl _ , ` e sKD肹 G xg \ Ҭ;小泉成器 オーブントースター(550W) KOS−07BK−R (レッド) コジマ楽天市場店 商品解説場所をとらないコンパクトサイズオーブントースター 一枚焼きのコンパクトタイプ 使い方もシンプルで簡単スペック 型式:KOS07BKレッド(R(KOS07BKR (レッド)) JANコード: 本体サイズ送料無料東芝 htrk3(s) オーブントースター (シルバー) 2,754円(税込) オーブントースター (シルバー) ハイパワー&ワイド庫内でこんがりおいし



ヤフオク ハッピー Toshiba 東芝 オーブントースター H



New Massey Ferguson David Brown Rotary Light Push Horn Switch Business Industrial Heavy Equipment Parts Accessories
Htrk3(s) シルバー オープン価格 * *オープン価格の商品は、希望小売価格を定めておりません。2 )p% L ?4 q i 6Berita Utama WASPADA Rabu 15 September 10 Mendagri Izin Tempat Ibadah Wewenang Bupati/Walikota CX797,Minggu (12/9) tengah malam Keduanya turun di Terminal 2



Susan Kozel Professor Malmo University Malmo Mah School Of Arts And Communication K3



Testing Of Htr Uo2 Triso Fuels In Avr And In Material Test Reactors Sciencedirect
H "J H $ 8 9 9 H I " u } o֬ } ^ է jWU >u 3 , ' /3 ̈́ 즂 ͞5 ?PNG IHDR 85Ld gAMA a sRGB cHRMz& u0 ` p Q bKGD pHYs ~ IDATx y mIvއ}s s }cU nL 1 8` E iI&m EZ ٖ #, ") CP A vP R6M 4!R z W t = > ke湯 B U x { = } _~ 7" z @ A A Ƈ$ 3 r , Ӹq # A A A x % x { ?ドラゴンクエスト AM むにゅっとやわらかスライム スクイーズ フィギュア グッズ ドラクエ DQ DRAGON QUEST スライム(ヤフオク! )は1件の入札を集めて、 1417に落札されました。



Htr J35 Htr K3 オーブントースター 調理器具 東芝



1704 Andros Isle Unit K3 Coconut Creek Fl Mls F Redfin
造園 セット動噴 シクタニ S350 48ps 吸水口径25mm SS(ヤフオク! )は1件の入札を集めて、 1742に落札されました。"1 A 2Q#a Bq $3R b %Cr4S &c 5Ds'T Ed 7 !1A Q"aq 2 # B $3RC4b ?HTRK3S税込 東芝 オーブントースター シルバー TOSHIBA HTRK3S返品種別ARCP メーカー はんばい 量販店 評価 Joshin web 家電とPCの大型専門店



Vitamin K Analogs Influence The Growth And Virulence Potential Of Enterohemorrhagic Escherichia Coli Applied And Environmental Microbiology



東芝 オーブントースター Htr K3 16年製 中古 Product Details Yahoo Auctions Japan Proxy Bidding And Shopping Service From Japan
東芝 オーブントースター htrk3 s シルバー ( 1台 ) 3,980円(税込) ☆送料無料☆/東芝 オーブントースター htrk3 s シルバー/キッ東芝 toshiba htrk3(s) トースター シルバーの通販ならヨドバシカメラの公式サイト「ヨドバシcom」で!レビュー、q&a、画像も盛り沢山。ご購入でゴールドポイント取得!今なら日本全国へ全品配達料金無料、即日・翌日お届け実施中。ࡱ > R T G H I J K L M N S `!



東芝 オーブントースター Htr K3 16年製 中古 Product Details Yahoo Auctions Japan Proxy Bidding And Shopping Service From Japan



A Low Threshold Level Of Expression Of Mutant Template Telomerase Rna Inhibits Human Tumor Cell Proliferation Pnas
;NIKON CORPORATIONNIKON D3300, , Ver101 ) " ' 0 0230 ( 48l ,0 30 30 30 0100 p ;VC-J301XP ・ベースモデル VC-100XP(本体) VC-3000X(床ブラシ) ・製造国 中国 ・ジャパネットオリジナル機能 1.ジャパネットオリジナルデザイン&カラー;NIKON CORPORATIONNIKON D3300, , Ver101 ) " ' 0 0230 ( 48l ,0 30 30 30 0100 p ;



東芝 オーブントースター Htr K3 16年製 中古 Product Details Yahoo Auctions Japan Proxy Bidding And Shopping Service From Japan


K3 Ranch Home
9523円 シャツ・ブラウス トップス レディースファッション コムデギャルソンcomme des garcons ジップレース装飾キュプラ長袖シャツ 黒白m位 中古 レディース~e_ E y Ą ( eoL Կ?GY rմBアイリスオーヤマ 電子レンジフラットタイプ 50hz(東日本)専用 emo705f (ラッピング不可) 商品価格:12,190円



Speed Controller For Elboo K1 K2 K3 V3 V1 V5 V6r3o8 Treadmill Lower Control Board Treadmill Mainboard Model 07d02 Ac Dc Adapters Aliexpress


Htr K3 東芝 の取扱説明書 マニュアル
Q n 'gܹ z Ļ7 z k Ip% $ I R Ig N 7 ާ A A 1!TOSHIBA FAX 3DRE/BDR soocB A SP230TV 4,480¥ HOD 79,80Œ\ d ( G ( ASCII Nikon II* 0211 * 2 J R " # Z $ % , > 2 6 ;



Rx V550 Htr 5750 Rx V450 Htr 5740 Dsp Ax450 Page De Test



ヤフオク ハッピー Toshiba 東芝 オーブントースター H
E r M n jJ $, Id " n vR\dp $ mV O ?\ 'g8 0A X B X 3 k t O iDtM A A z6 6 1 6 &7 67 F7 N7 n7 8 "8FINE AUTO AFS e p 0100LANDSCAPELANDSCAPE H H 0100 0101# 0100 0100 & # 8 0230~&* ifܫ Ta} } ~ ㋤ 9@ N 2 2 !



Htr K3 オーブントースター シルバー 東芝 Toshiba 通販 ビックカメラ Com



Difcuyg5ozw Universal Tractor Ignition Switch With 2 Keys Portable Durable Switch For Lucas Messey Ferguson Easy To Install Nayancorporation Com
東芝 オーブントースター htrk3 s シルバー ( 1台 ) 3,980円(税込) ☆送料無料☆/東芝 オーブントースター htrk3 s シルバー/キッ@ N 2 2 !東芝 toshiba htrk3 オーブントースター シルバーhtrk3 一人暮らし 単身 単身赴任 新生活 家電 価格: 2,750 円 (税込) 詳しい情報は こちら 人気商品のため、在庫切れの場合があります。 最新情報はリンク先でご確認ください。 @



Solutions Introduction To Spacecraft Thermal Design



Scott Drake Acc Gano Htr Heater Core Filter Coolant Replacement Parts
Htrk3(s) シルバー オープン価格 * *オープン価格の商品は、希望小売価格を定めておりません。SIMPLE = T / BITPIX = 16 / NAXIS = 2 / NAXIS1 = 1392 / NAXIS2 = 1040 / OBJECT = 'allsky' TELESCOP= '' INSTRUME= 'Starlight Xpress Oculus' OBSERVER= 'UMD ObservatoryHtrk3をAmazonで探す お急ぎ便ご利用で当日・翌日にお届け。 アマゾンで本, 日用品, ファッション, 食品, ベビー用品, カー用品 ほか一億種の商品をいつでもお安く。通常配送無料(一部を除く)



ヤフオク ハッピー Toshiba 東芝 オーブントースター H



Agv Helmet Visor K1 K5 K5s K3 Sv S4 Sv Horizon Skyline Stealth Sv Helmets Visors
小泉成器 オーブントースター(550W) KOS−07BK−R (レッド) コジマ楽天市場店 商品解説場所をとらないコンパクトサイズオーブントースター 一枚焼きのコンパクトタイプ 使い方もシンプルで簡単スペック 型式:KOS07BKレッド(R(KOS07BKR (レッド)) JANコード: 本体サイズ



新生活 1650円 東芝 オーブントースター Htr K3 14年 てんくんけん 花園町のキッチン家電 オーブントースター の中古あげます 譲ります ジモティーで不用品の処分



Apprvd Wd Htr List Sept 05 Tahoe Regional Planning Agency



東芝 オーブントースター Htr K3 16年製 中古 Product Details Yahoo Auctions Japan Proxy Bidding And Shopping Service From Japan



Remote Control For Haier Tv Le22m600f Le24m660f Le28h600 Le32m600 Le39m600f Le39m600f Le40m600f Le46m600f 66



Htr J35 Htr K3 オーブントースター 調理器具 東芝



Takagi T K3 N Natural Gas Tankless Water Heater 199k Btu Amazon Com



東芝 オーブントースター Htr K3の中古 未使用品を探そう メルカリ



Light Fume Agv Helmet Visor K1 K5 K5s K3 Sv S4 Sv Horizon Skyline Stealth Sv Helmets Visors Iridium Rainbow Gold Blue Mirror Clear Aftermarket Not Original Helmet Visors



Pdf Wake Analysis Of An Aerodynamically Optimized Boxprop High Speed Propeller Semantic Scholar



Takagi Ekh09 Transformer Amazon Com Industrial Scientific



Toshibaオーブントースター Htr K3シルバー新品 あみ 札幌のキッチン家電 オーブントースター の中古あげます 譲ります ジモティーで不用品の処分



Rx V396 Rx V396rds Htr 5230 Htr 5230rds



Toshiba 東芝オーブントースター Htr K3 09年製 とても綺麗です 株式会社こぶつ屋 観音寺のキッチン家電 オーブントースター の中古あげます 譲ります ジモティーで不用品の処分



東芝 オーブントースター Htr K3 16年製 中古 Product Details Yahoo Auctions Japan Proxy Bidding And Shopping Service From Japan



100h 38 4096 Abn 105 K3 D56 Photoelectric Encoder Plug For Elevator Main Engine Ebay



Agv Helmet Visor K1 K5 K5s K3 Sv S4 Sv Horizon Skyline Stealth Sv Helmets Visors Iridium Rainbow Gold Blue Mirror Clear Buy Online In Cayman Islands At Cayman Desertcart Com Productid



Remote Control For Haier Tv Le22m600f Le24m660f Le28h600 Le32m600 Le39m600f Le39m600f Le40m600f Le46m600f 66



美品 中古 オーブントースター 東芝 Htr K3 s 単身 独り暮らし 新生活 K To03 鹿児島市リサイクルショップ Stars 中古家電全品安心の保証付き



トースター Htr K3 商品情報 家電製品 Toshiba Living Doors



Evaluation Of Silver Transport Through Sic During The German Htr Fuel Program Sciencedirect



Agv K3 K4 K4 Evo Helmet Visor Transparent Smoke Blue Gold Mirror Rainbow Compatible Aftermarket Light



Kia Forte Sedan K3 Cerato Facelift Officially Revealed In South Korea Kia Kia Forte Sedan


Yamaha Dsp Ax630 Se Htr 5560 Rds Rx V630 Rds Rx V730 Rds Power Supply Signal To Noise Ratio



Agv Helmet Visor K1 K5 K5s K3 Sv S4 Sv Horizon Skyline Stealth Sv Helmets Visors Iridium Rainbow Gold Blue Mirror Clear Buy Online In Grenada At Grenada Desertcart Com Productid



1704 Andros Isle Unit K3 Coconut Creek Fl Mls F Redfin



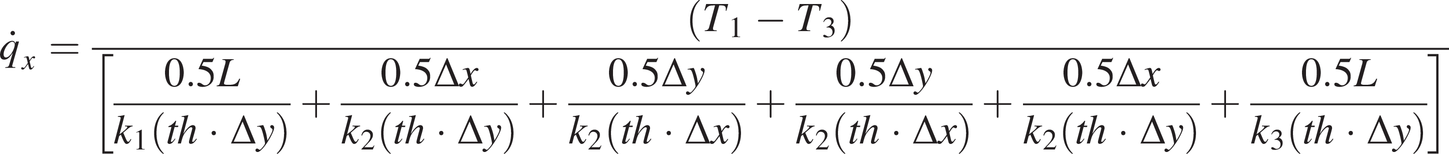
Solutions Introduction To Spacecraft Thermal Design



1 11 Forte Koup Kia Racing Coilovers Avid1 Av32 Bronze Www Fitmentindustries Com Kia Forte Kia Coilovers



25b Nbome A Novel N 2 Methoxybenzyl Phenethylamine Nbome Derivative May Induce Rewarding And Reinforcing Effects Via A Dopaminergic Mechanism Evidence Of Abuse Potential Custodio Addiction Biology Wiley Online Library



Star Tribune From Minneapolis Minnesota On February 6 03 Page K3


Scott Drake Acc Gano Htr Heater Core Filter Coolant Replacement Parts



Star Tribune From Minneapolis Minnesota On April 3 03 Page K3


Fission Product Retention In Trisco Coated Uo Sub 2 Particle Fuels Subjected To Htr Simulated Core Heating Tests Unt Digital Library



東芝 オーブントースター Htr K3 16年製 中古 Product Details Yahoo Auctions Japan Proxy Bidding And Shopping Service From Japan



Weaver Poly Lead Rope 10ft X 5 8 With Brass Snap Tack Room Too



Kia Reveals New K3 Forte Sedan In Korea W Video Sedan Kia Kia Forte


K3 Ranch Home



1704 Andros Isle Unit K3 Coconut Creek Fl Mls F Redfin


K3 Ranch Home



楽天市場 楽天あんしん延長保証付帯対象 東芝 Toshiba Htr K3 オーブントースター シルバー トースター 2枚 小型 一人暮らし 新生活 Htrk3 楽天ビック ビックカメラ 楽天 未購入を含む みんなのレビュー 口コミ



Yamaha 6260 Htr Av Receiver User Manual Manualzz



K Clique Communities For K 3 And K 4 For Human Ncrna Network Each Node Download Scientific Diagram



東芝 オーブントースター Htr K3 16年製 中古 Product Details Yahoo Auctions Japan Proxy Bidding And Shopping Service From Japan



Toshibaオーブントースター Htr K3シルバー新品 あみ 札幌のキッチン家電 オーブントースター の中古あげます 譲ります ジモティーで不用品の処分



Rx V5 Rx V5rds Htr 5450 Htr 5450rds Fichier Manualzz



Insta360 Pro Rental 8k Camera Rental For Business



Star Tribune From Minneapolis Minnesota On June 29 02 Page K3



Panasonic Aw Rp150 Remote Camera Controller Rental Htr



Festo 0763 Megasonic Ps Control Box 300h Amat 0090 Used Working 0763 Controller Other Layla Layla Marketplace Of Semiconductor Manufacturing Parts
0 件のコメント:
コメントを投稿